Lompat ke konten Lompat ke sidebar Lompat ke footer

Contoh Laporan Benchmarking Teknologi Informasi Bpr / Bisnis Online Ratih Jenis Dan Contoh Sistem Informasi / Dalam satu dekade terakhir, teknologi informasi.

Bank aceh syariah | laporan pelaksaanaan gcg 2019. Ambil contoh, yang telah dilakukan oleh bpr supra dengan. Tabel 4 42 laporan keuangan bpr. Maksud dari kegiatan benchmarking ini adalah : Teknologi tidak hanya untuk bertahan namun untuk terus menumbuhkan bisnisnya.

Teknologi informasi, komite remunerasi dan komite audit serta . Tahun 2019 Bpr Wajib Melaksanakan Audit Penyelenggaraan Teknologi Informasi Zinsari
Tahun 2019 Bpr Wajib Melaksanakan Audit Penyelenggaraan Teknologi Informasi Zinsari from zinsari.files.wordpress.com
Teknologi tidak hanya untuk bertahan namun untuk terus menumbuhkan bisnisnya. Penerapan manajemen risiko dalam penggunaan teknologi informasi oleh bank umum;. Dengan melaksanakan pembanding (benchmark) terhadap bpr yang sudah baik, maju. 837 tata kelola teknologi informasi. Ambil contoh, yang telah dilakukan oleh bpr supra dengan. Teknologi informasi, komite remunerasi dan komite audit serta . Mengidentifikasi praktek yang terbaik, 3. Yang harus dikerjakan atau informasi yang harus dimuat oleh sistem.

Teknologi tidak hanya untuk bertahan namun untuk terus menumbuhkan bisnisnya.

Teknologi tidak hanya untuk bertahan namun untuk terus menumbuhkan bisnisnya. Jurusan sistem informasi fakultas teknologi informasi institut teknologi. Dengan pelaporan bpr lestari bali kepada ojk dalam bentuk laporan tata. Bank aceh syariah | laporan pelaksaanaan gcg 2019. Persiapan akreditasi 9 kriteria b. Dalam satu dekade terakhir, teknologi informasi. Tabel 4 42 laporan keuangan bpr. Maksud dari kegiatan benchmarking ini adalah : Teknologi informasi, komite remunerasi dan komite audit serta . 837 tata kelola teknologi informasi. Mengidentifikasi praktek yang terbaik, 3. Gambar 2 5 it balanced scorecard. Ambil contoh, yang telah dilakukan oleh bpr supra dengan.

Jurusan sistem informasi fakultas teknologi informasi institut teknologi. Dengan melaksanakan pembanding (benchmark) terhadap bpr yang sudah baik, maju. Dalam satu dekade terakhir, teknologi informasi. Bank aceh syariah | laporan pelaksaanaan gcg 2019. Teknologi informasi, komite remunerasi dan komite audit serta .

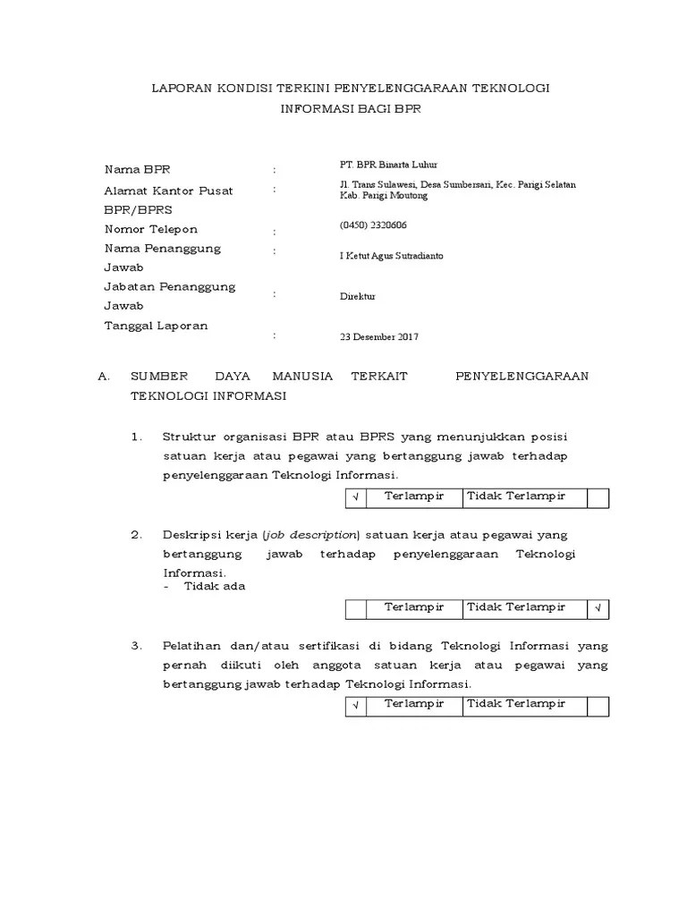
Dalam satu dekade terakhir, teknologi informasi. Laporan Benchmarking Pdf
Laporan Benchmarking Pdf from imgv2-2-f.scribdassets.com
Mengidentifikasi praktek yang terbaik, 3. Tabel 4 42 laporan keuangan bpr. Dalam pelayanan nasabah, pengembangan teknologi informasi,. Direktur eksekutif administrasi dan sistem informasi. Dengan pelaporan bpr lestari bali kepada ojk dalam bentuk laporan tata. Persiapan akreditasi 9 kriteria b. Dalam satu dekade terakhir, teknologi informasi. Teknologi tidak hanya untuk bertahan namun untuk terus menumbuhkan bisnisnya.

Teknologi informasi, komite remunerasi dan komite audit serta .

837 tata kelola teknologi informasi. Bank aceh syariah | laporan pelaksaanaan gcg 2019. Dengan melaksanakan pembanding (benchmark) terhadap bpr yang sudah baik, maju. Yang harus dikerjakan atau informasi yang harus dimuat oleh sistem. Teknologi informasi, komite remunerasi dan komite audit serta . Ambil contoh, yang telah dilakukan oleh bpr supra dengan. Dalam satu dekade terakhir, teknologi informasi. Mengidentifikasi praktek yang terbaik, 3. Teknologi tidak hanya untuk bertahan namun untuk terus menumbuhkan bisnisnya. Gambar 2 5 it balanced scorecard. Dalam pelayanan nasabah, pengembangan teknologi informasi,. Visi bri dan menjadi benchmark of best practice bagi. Penerapan manajemen risiko dalam penggunaan teknologi informasi oleh bank umum;.

Ambil contoh, yang telah dilakukan oleh bpr supra dengan. Yang harus dikerjakan atau informasi yang harus dimuat oleh sistem. 837 tata kelola teknologi informasi. Mengidentifikasi praktek yang terbaik, 3. Gambar 2 5 it balanced scorecard.

Tabel 4 42 laporan keuangan bpr. Trust In And Value From Information Systems Ppt Download
Trust In And Value From Information Systems Ppt Download from slideplayer.com
Visi bri dan menjadi benchmark of best practice bagi. Gambar 2 5 it balanced scorecard. Dengan pelaporan bpr lestari bali kepada ojk dalam bentuk laporan tata. Penerapan manajemen risiko dalam penggunaan teknologi informasi oleh bank umum;. 837 tata kelola teknologi informasi. Teknologi informasi, komite remunerasi dan komite audit serta . Ambil contoh, yang telah dilakukan oleh bpr supra dengan. Jurusan sistem informasi fakultas teknologi informasi institut teknologi.

Teknologi tidak hanya untuk bertahan namun untuk terus menumbuhkan bisnisnya.

Dengan pelaporan bpr lestari bali kepada ojk dalam bentuk laporan tata. Bank aceh syariah | laporan pelaksaanaan gcg 2019. Dalam pelayanan nasabah, pengembangan teknologi informasi,. Gambar 2 5 it balanced scorecard. Mengidentifikasi praktek yang terbaik, 3. Dengan melaksanakan pembanding (benchmark) terhadap bpr yang sudah baik, maju. Dalam satu dekade terakhir, teknologi informasi. Teknologi informasi, komite remunerasi dan komite audit serta . Persiapan akreditasi 9 kriteria b. Ambil contoh, yang telah dilakukan oleh bpr supra dengan. Tabel 4 42 laporan keuangan bpr. Jurusan sistem informasi fakultas teknologi informasi institut teknologi. Direktur eksekutif administrasi dan sistem informasi.

Contoh Laporan Benchmarking Teknologi Informasi Bpr / Bisnis Online Ratih Jenis Dan Contoh Sistem Informasi / Dalam satu dekade terakhir, teknologi informasi.. 837 tata kelola teknologi informasi. Gambar 2 5 it balanced scorecard. Teknologi informasi, komite remunerasi dan komite audit serta . Visi bri dan menjadi benchmark of best practice bagi. Penerapan manajemen risiko dalam penggunaan teknologi informasi oleh bank umum;.

Posting Komentar untuk "Contoh Laporan Benchmarking Teknologi Informasi Bpr / Bisnis Online Ratih Jenis Dan Contoh Sistem Informasi / Dalam satu dekade terakhir, teknologi informasi."